Édouard Lucas → Englisch, Französisch, Portugiesisch, Spanisch.
François Édouard Anatole Lucas (* 4. April 1842 in Amiens; † 3. November 1891 in Paris) war ein französischer Mathematiker.
Édouard Lucas
Lucas studierte an der École normale superieure, arbeitete am Pariser Observatorium, war Mathematiklehrer am Lycée Saint Louis in Paris und am Lycée Charlemagne, ebenfalls in Paris. Er hat sich mit Zahlentheorie beschäftigt, die Fibonacci-Reihen untersucht und Bücher über Unterhaltungsmathematik geschrieben. Lucas machte Spiele mit mathematischer Grundlage wie Käsekästchen und die Türme von Hanoi bekannt. Die Türme von Hanoi erschien 1883 als Spielzeug unter Lucas Pseudonym „N. Claus de Siam“, das aus „Lucas de Amiens“ durch Buchstabenvertauschung (Anagramm) hervorging.
Mit beliebigen reellen Startwerten a1 und a2 wird eine rekursiv definierten Zahlenfolge (Lucas-Folge) erklärt durch
Dies ist eine Verallgemeinerung der Fibonacci-Zahlen. Wie bei der Fibonacci-Folge konvergiert der Quotient zweier aufeinanderfolgender Zahlen gegen den Goldenen Schnitt.
Der Lucas-Test für Primzahlen wurde 1930 von Derrick Henry Lehmer vereinfacht (siehe Lucas-Lehmer-Test). 1876 bewies er damit, dass 2127−1 prim ist.
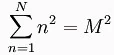
Er stellte die Aufgabe zu zeigen, dass die einzigen Lösungen der diophantischen Gleichung:
mit N > 1 N=24 and 70 sind. Erst 1918 wurde ein Beweis mit hyperelliptischen Funktionen gegeben. Die Formel taucht in der bosonischen Stringtheorie (bosonisch heißt dass sie nicht wie Superstrings Fermionen beschreiben, sie existieren nur in 26 Dimensionen) auf.[1].
Lucas starb in einem äußerst bizarren Unfall beim Bankett der französischen mathematischen Gesellschaft: ein Kellner verschüttete Speisen auf ihn und eine gebrochene Platte traf ihn im Genick. Er starb wenige Tage später an Blutvergiftung.
Werke
- Récréations mathématiques, Bd.1-4, 1883, 1894 (Bd.1 über Labyrinthe)
- Recherches sur plusieurs ouvrages de Leonarde de Pise 1877, 122 p.
- Recherches sur l'analyse indéterminée et l'arithmétique de Diophante. , 1873
- Théorie des nombres, Paris 1891
Weblinks
Quellen
Copyright
Adaptiert von dem Wikipedia Artikel "Édouard Lucas" http://de.wikipedia.org/wiki/%C3%89douard_Lucas, unter der GNU Free Documentation License. Die Liste der Autoren ist in der Wikipedia unter dieser Seite verfügbar.
